O Gerenciamento Preditivo Vai Automatizar O Cálculo Do Caminho Critico

O Gerenciamento Preditivo Vai Automatizar O Cálculo Do Caminho Critico

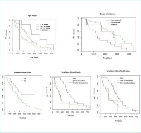
MODELO PREDITIVO DE AVALIAÇÃO DO TEMPO ENTRE O DIAGNÓSTICO DO HIV E

preditivo analytics conceito linha ícone. simples elemento ilustração

preditivo analytics conceito linha ícone. simples elemento ilustração ...

o negócio processo e automatizar fluxos de trabalho com fluxogramas o

o negócio processo e automatizar fluxos de trabalho com fluxogramas o ...

Read also: Brf2 Lewis Structure Valence Electrons

close